① 高電圧変圧器
1.巻数比と電圧・電流の関係
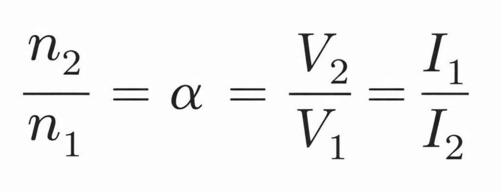
● 基本式

● 記号の意味
n₁:一次側巻数
n₂:二次側巻数
a:巻数比
V₁:一次側電圧(実効値)
V₂:二次側電圧=管電圧(最大値)
I₁:一次側電流(実効値)
I₂:二次側電流=管電流(平均値)
⸻
2.国家試験での重要ルール
● 管電圧は最大値で表す
● 管電流は平均値で表す
●それ以外は実効値で表す
ここが最重要。
⸻
3.なぜ値をそろえないといけないのか
一次側は交流なので
電圧・電流ともに実効値で表示される。
しかし二次側(X線管側)は整流されるため、
・管電圧 → 最大値
・管電流 → 平均値
で扱う。
よって、巻数比の計算では
値を換算してそろえる必要がある。

覚え方は上の表を参照
基本的に全て実効値に直してから、答えるものに変換する。(管電圧で答えるなら最大値に変換)
高電圧装置の性能測定
⸻
① 蛍光量計
測定項目:X線出力の再現性
X線の蛍光量(光量)を測定し、
同一条件での出力のばらつきを評価する。
→ 出力再現性の確認
⸻
② オシロスコープ
測定項目:撮影時間
管電圧波形を観察し、
実際の通電時間を測定する。
→ 曝射時間の確認
⸻
③ 直接接続型管電圧計・管電流計
測定項目:管電圧・管電流
高電圧回路に直接接続して
実際の管電圧・管電流を測定する。

コメント